以往研究发现儿童的屏幕使用会伴随更多的行为问题,然而对于屏幕使用产生影响的机制以及保护性因素的探究较少。近日,来自williamhill英国威廉希尔心理学系伍珍课题组的研究发现,家长陪伴使用和儿童较高的情绪调节能力,能够有效缓解屏幕使用对儿童行为问题的不利影响。在儿童使用屏幕设备过程中,家长高频率的陪伴能够有效提高儿童的情绪调节能力,并减少儿童表现出的行为问题。

屏幕使用对行为问题的影响机制
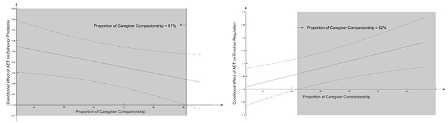
本研究涵盖全国范围内来自不同社会阶层的897名儿童,由照料者报告儿童的屏幕使用情况、情绪调节以及行为问题等。研究具体来看,当家长陪伴比例超过52%时,儿童的屏幕使用会与更高的情绪调节能力相关,而当家长陪伴比例高于91%时,屏幕使用不再与行为问题相关。本研究首次提出了屏幕使用影响儿童行为问题的有调节的中介模型,率先在学龄前儿童群体中探究屏幕使用对情绪调节能力的影响。在教育实践与应用方面,随着近年来儿童使用屏幕设备的情况愈发普遍,本研究的结果支持了情绪调节能力和家长陪伴使用的重要作用,这对于制定家庭内部的电子媒体使用规范、保障儿童健康成长具有重要意义。

Johnson-Neyman法检验调节效应
近日,伍珍课题组在发展与教育心理学国际期刊《早期儿童研究季刊》(Early Childhood Research Quarterly)上发表题为“屏幕暴露与行为问题有必然联系吗?情绪调节和照顾者陪伴的缓冲作用”(Does Screen Exposure Necessarily Relate to Behavior Problems? The Buffering Roles of Emotion Regulation and Caregiver Companionship)的相关成果。
威廉体育williamhill心理学系伍珍副教授为本文第一作者和通讯作者,心理学系2022级博士生于佳露和博士后徐丞谊为共同作者。
论文链接:
https://doi.org/10.1016/j.ecresq.2023.01.008
供稿:心理学系